ATA-D60090功率放大器在时间调制序列生成中的应用
通过生成周期性时序电压信号控制二极管的周期性导通/断开,调控入射电磁波。
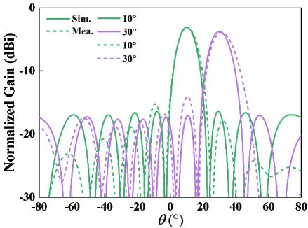
利用计算机生成波束扫描所需的的波束扫描的时间编码序列。根据时间编码序列,任意信号发生器产生的方波信号通过功率放大器产生控制电压信号。
电压信号控制电磁材料中二极管的工作状态,实现对电磁波辐射和散射的动态调控,通过接收天线接收信号,矢量网络分析仪分析信号测试电磁材料对电磁波的调控效果。
通过对幅度和相位进行共编码并抑制了谐波,实现了低副瓣的动态波束扫描。通过将能量均匀地分散到谐波上,在角域的全光谱范围内实现了超低散射。在C波段验证了电磁材料的时空调制能力。所设计的电磁材料有利于高度集成多种电磁功能,并显著减少平台的孔径数量。其任意调制幅度和相位的强大能力使其在隐蔽通信系统、雷达系统和紧凑型航空航天设备中具有巨大的潜力。
西安安泰电子是专业从事功率放大器、高压放大器、功率信号源、前置微小信号放大器、高精度电压源、高精度电流源等电子测量仪器研发、生产和销售的高科技企业,为用户提供具有竞争力的测试方案。Aigtek已经成为在业界拥有广泛产品线,且具有相当规模的仪器设备供应商,样机都支持免费试用。
特别声明:以上内容(如有图片或视频亦包括在内)为自媒体平台“网易号”用户上传并发布,本平台仅提供信息存储服务。
90后产妇生娃时遇上生理需求,男医生:见怪不怪,现场解决
深度揭秘 中海油原总经理李勇坦白受贿细节:外国代理商开车来,拿个箱子给钱
员工刘某一个月内11次长时间滞留卫生间,单日最长达6小时21分钟,被公司解雇,法院:超出合理生理需求,属变相旷工,被解雇合法
那个陪马斯克去俄罗斯买火箭的人,后来成了他的保护伞?

